No More Train/Inference Mismatch: Bitwise Consistent On-Policy Reinforcement Learning with vLLM and TorchTitan
Across the septillions of FLOPs used in pre-training, numerical mismatches have had effectively imperceptible impact. Pre-training typically runs at a fixed batch size which induces the same reduction kernels to be run - often side-stepping the issue entirely.
Reinforcement learning, on the other hand, seems to almost exclusively run different reduction algorithms due to its inference-heavy (and thus largely latency and memory-bound) nature. Kernels optimized for low-batch size inference typically run reductions without tiling, whereas kernels for training models parallelize heavily to reuse data and amp up compute utilization. That means the generators and the trainers are typically running completely different kernels!
So intuitively, why might this be an issue? A rudimentary explanation is that the training becomes implicitly “off-policy” because the outputs from the generator do not match the outputs a trainer might produce given the same inputs.
Discussion on this can be found on ThinkingMachine’s post Defeating Nondeterminism in LLM Inference (He et al.) and the post Your Efficient RL Framework Secretly Brings You Off-Policy RL Training (Yao, Liu et al.).
Background
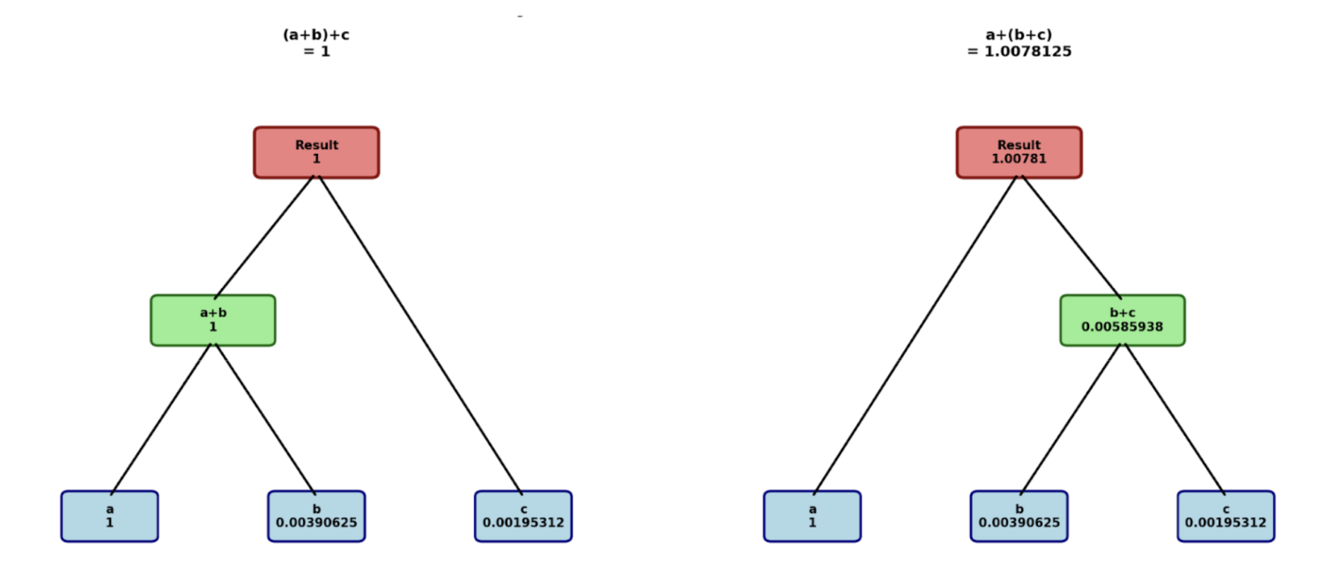
Floating point numbers are effectively a binary scientific notation. They utilize three components: a sign bit (s), a mantissa (M) and an exponent (e).
Each of these components are represented as integers and suffer from the exact same rounding errors you might expect. In bf16, the most commonly used representation for machine learning, 7 bits are dedicated to the mantissa. This is not very many bits! The value 3.0 can be represented exactly, but a value like 3.6 cannot…
When you want a new value in bf16 you end up rounding it to the nearest available value. What’s of particular interest today is the implication of this rounding process happening at different points in a sequence of additions.

These rounding steps can cause two of the exact same inputs to generate different outputs! That means the same framework on the same hardware with the same inputs and the same weights can produce distinct outputs if any of the logic anywhere in the execution dispatches a different (but still correct) kernel.
Demonstration
Reinforcement learning has been shown to amplify tiny numerical perturbations, leading to non-deterministic and unstable training behavior. By combining the recent work of vLLM with TorchTitan we were able to demonstrate the stabilized training dynamics of reinforcement learning with exact bitwise parity between generator and trainer. This has been landed as a script in TorchTitan here.

The script will download and run an RL fine-tune of Qwen3 1.7B locally and plot the reward and entropy in tensorboard.

Running the demonstration associated with this blog post we see exactly the issue described below. Running the generator with different kernels than the trainer (batch_inv_OFF) shows a reduced reward over 100 steps. Enabling bitwise exact training, we see the model not only train in fewer steps, but reach a higher total reward!

How It’s Done & What’s Next
We tackled not only invariance in the same framework, but across two different frameworks. This was a challenging task as it required effectively auditing every single invocation of every kernel. We heavily leveraged the forward pass kernels from vLLM’s recent batch invariance work and wrote simple backward passes for these.
from vllm.model_executor.layers.activation import SiluAndMul
from vllm.model_executor.layers.batch_invariant import rms_norm
vLLM has many heavily optimized fused operations, such as the SiLU MLPs and RMSNorms (with added residuals). To maintain bitwise equivalence, we imported the exact operations for the forward passes. These operations needed custom backward passes registered, but this could be done in the same vanilla PyTorch TorchTitan is written in!
from vllm.model_executor.layers.batch_invariant import vllm_is_batch_invariant
While writing the code, we ensured that the original non-invariant TorchTitan could be used. To make this optional and to reduce configuration parameters we leveraged vLLM’s exposed vllm_is_batch_invariant function.
Then, we wrote a generic reinforcement learning script using GSM8K and a correctness reward. We used TorchTitan’s utilities for a trainer and wrote a custom generator. Our generator, VLLMRolloutEngine, wraps simple functionality like calling generate and updating weights. We run everything synchronously, alternating between trainer and generator on a single host. This is demonstrative of exactly on-policy execution, but is not very common in large scale runs.
Note that we did not use torch.compile for the TorchTitan model, and thus enforced eager mode for vLLM. It is straightforward to remove this constraint, but a torch.compile version of the TorchTitan model would need to be built. vLLM heavily leverages torch.compile and is able to maintain batch-invariance with it - but to maintain cross-framework compatibility would require a change to the trained version of the model. This will be pursued in followup work!
While building this, testing was straightforward as we are able to use exact bitwise checks to ensure the forward logprobs and the perplexity generated by the trainer are identical. We will continue to improve the performance of vLLM and simplify the integration to support all TorchTitan models. To follow this work, please see the linked RFC: #28326.
Authors: Bram Wasti, Wentao Ye, Teja Rao, Michael Goin, Paul Zhang, Tianyu Liu, Natalia Gimelshein, Woosuk Kwon, Kaichao You, Zhuohan Li